网站首页  词典首页


请输入您要查询的字词:

 

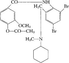
字词 溴凡克新
类别 中英文字词句释义及详细解析
释义 溴凡克新

C24H28Br2N2O4=568.30

CAS-54340-61-3

2′,4′-二溴-α-(环己基甲氨基)-邻-香草酰甲苯胺醋酸酯。

2′,4′-Dibromo-α-(cyclohexylmethylamino)-o-vanillotoluidide acetate(ester).

祛痰药。

Brovanexine.

INN,USAN.

随便看

 

离鸟网收录3541549条中英文词条,其功能与新华字典、现代汉语词典、牛津高阶英汉词典等各类中英文词典类似,基本涵盖了全部常用中英文字词句的读音、释义及用法,是语言学习和写作的有利工具。

 

Copyright © 2004-2024 vtrois.com All Rights Reserved
更新时间:2026/4/7 1:01:56