网站首页  词典首页


请输入您要查询的字词:

 

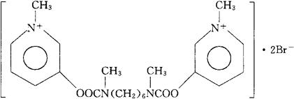
字词 溴地斯的明
类别 中英文字词句释义及详细解析
释义 溴地斯的明

C22H32Br2N4O4=576.33

CAS-15876-67-2

溴化3-羟-1-甲基吡啶鎓六亚甲基双-(N-甲基氨基甲酸酯)。

3-Hydroxy-1-methylpyridinium bromide hexamethylenebis-(N-methylcarbamate).

胆碱酯酶抑制药。

Distigmine Bromide.

INN,BAN,USAN.

随便看

 

离鸟网收录3541549条中英文词条,其功能与新华字典、现代汉语词典、牛津高阶英汉词典等各类中英文词典类似,基本涵盖了全部常用中英文字词句的读音、释义及用法,是语言学习和写作的有利工具。

 

Copyright © 2004-2024 vtrois.com All Rights Reserved
更新时间:2026/4/7 7:08:19