网站首页  词典首页


请输入您要查询的字词:

 

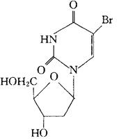
字词 溴尿苷
类别 中英文字词句释义及详细解析
释义 溴尿苷

C9H11BrN2O5=307.10

CAS-59-14-3

5-溴-2′-脱氧尿苷。

5-Bromo-2′-deoxyuridine.

抗肿瘤药。用于头、颈部癌。

5-溴去氧尿苷,溴尿嘧啶苷。

Broxuridine.

INN,USAN.

随便看

 

离鸟网收录3541549条中英文词条,其功能与新华字典、现代汉语词典、牛津高阶英汉词典等各类中英文词典类似,基本涵盖了全部常用中英文字词句的读音、释义及用法,是语言学习和写作的有利工具。

 

Copyright © 2004-2024 vtrois.com All Rights Reserved
更新时间:2026/5/25 18:27:40