网站首页  词典首页


请输入您要查询的字词:

 

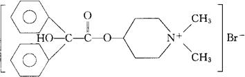
字词 溴帕拉喷酯
类别 中英文字词句释义及详细解析
释义 溴帕拉喷酯

C21H26BrNO3=420.35

CAS-5634-41-3

4-[(羟基二苯乙酰)氧]-1,1-二甲基哌啶鎓,溴化物。

4-[(Hydroxydiphenylacetyl)oxy]-1,1-dimethyl,piperidinium,bromide.

溴化4-羟-二苯乙醇酸1,1-二甲基哌啶鎓。

4-Hydroxy-1,1-dimethylpiperidinium bromide benzilate.

抗胆碱药,解痉药。

用于治疗胃和十二脂肠溃疡,缓解内脏痉挛。

溴对喷酯。

Parapenzolate Bromide,Sch3444,Dorela,Neupran,Relanol,Relenol,Spacine,Vagopax.

INN,USAN.

随便看

 

离鸟网收录3541549条中英文词条,其功能与新华字典、现代汉语词典、牛津高阶英汉词典等各类中英文词典类似,基本涵盖了全部常用中英文字词句的读音、释义及用法,是语言学习和写作的有利工具。

 

Copyright © 2004-2024 vtrois.com All Rights Reserved
更新时间:2026/5/25 16:27:37