网站首页  词典首页


请输入您要查询的字词:

 

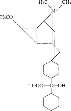
字词 溴托齐林
类别 中英文字词句释义及详细解析
释义 溴托齐林

C24H30BrNO4=476.41

CAS-143-92-0

7-甲氧-8-甲基莨菪鎓溴化物二苯乙醇酸酯。

7-Methoxy-8-methyltropinium bromide benzilate.

溴化3-[(羟-二苯乙酰)氧]-6-甲氧-8,8-二甲基-8-氮鎓双环[3,2,1]辛烷。

3-[(Hydroxydiphenylacetyl)oxy]-6-methoxy-8,8-dimethyl-8-azoni-abicyclo[3,2,1]octane bromide.

解痉药,抗胆碱药。

Tropenziline Bromide,MTS 263,Palerol,Palerosan.

INN,USAN.

随便看

 

离鸟网收录3541549条中英文词条,其功能与新华字典、现代汉语词典、牛津高阶英汉词典等各类中英文词典类似,基本涵盖了全部常用中英文字词句的读音、释义及用法,是语言学习和写作的有利工具。

 

Copyright © 2004-2024 vtrois.com All Rights Reserved
更新时间:2026/5/25 18:32:14