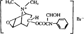
溴甲基东莨菪碱
C18H24BrNO4=398.30 CAS-155-419 溴化6β,7β-环氧-3α-羟-8-甲基-1αH,5αH-托品烷托品酸酯。 6β,7β-Epoxy-3α-hydroxy-8-methyl-1αH,5αH-tropanium bromide(-)-tropate. 抗胆碱药。 甲溴东莨菪碱。 Methscopolamine Bromide,Hyocine Methobromide,Scopolamine Methobromide,Restropin. 溴化甲基东莨菪碱片。 BAN,NF,USAN,MI. 
|