网站首页  词典首页


请输入您要查询的字词:

 

字词 溴甲基阿托品[中]
类别 中英文字词句释义及详细解析
释义 溴甲基阿托品[中]

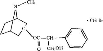
C18H26BrNO3=384.31

CAS-2870-71-5

IαH,5αH-托烷-3α-醇(±)-托品酸酯,甲基溴化物。

1αH,5αH-Tropan-3α-ol(±)-tropate(ester)methyl bromide.

抗胆碱药。用于胃及十二指肠溃疡、胃肠炎和胃酸过多等症。

胃乐平,胃疡平,溴甲阿托品,溴甲烷阿托品。

Atropine Methtyl Bromide,Atropine Methobromide,Methylatropine Bromide.

溴甲基阿托品片。

BP,DCIT,GDP,NP,PH,MI.

随便看

 

离鸟网收录3541549条中英文词条,其功能与新华字典、现代汉语词典、牛津高阶英汉词典等各类中英文词典类似,基本涵盖了全部常用中英文字词句的读音、释义及用法,是语言学习和写作的有利工具。

 

Copyright © 2004-2024 vtrois.com All Rights Reserved
更新时间:2026/4/8 17:03:04