网站首页  词典首页


请输入您要查询的字词:

 

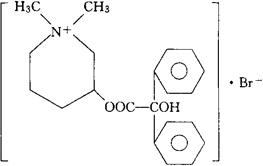
字词 溴美喷酯
类别 中英文字词句释义及详细解析
释义 溴美喷酯

C21H26BrNO3=420.35

CAS-76-90-4

3-[(羟二苯乙酰基)氧]-1,1-二甲基哌啶鎓的溴化物。

3-[(Hydroxydiphenylacetyl)oxy]-1, 1-dimethylpiperidinum bromide.

溴化3-羟-1,1-二甲基哌啶鎓的二苯乙醇酸酯。

3-Hydroxy-1,1-dimethylpiperidinium bromide benzilate.

抗胆碱药。

用于胃肠道痉挛。

宁胃适。

Mepenzolate Bromide,Cantil.

INN,BAN,JAN,NF,NFN,USAN,USP,MI.

随便看

 

离鸟网收录3541549条中英文词条,其功能与新华字典、现代汉语词典、牛津高阶英汉词典等各类中英文词典类似,基本涵盖了全部常用中英文字词句的读音、释义及用法,是语言学习和写作的有利工具。

 

Copyright © 2004-2024 vtrois.com All Rights Reserved
更新时间:2026/4/5 17:29:39