网站首页  词典首页


请输入您要查询的字词:

 

字词 滔罗定
类别 中英文字词句释义及详细解析
释义 滔罗定

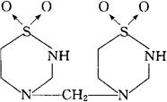
C7H16N4O4S2=284.35

CAS-19388-87-5

4,4′-亚甲基双(四氢-1,2,4-噻二嗪1,1-二氧化物)。

4,4′-Methylenebis(tetrahydro-1,2,4-thiadiazine 1,1-dioxide).

抗感染药。

都洛宁。

Taurolidine,Drainasept,Tauroflex,Tauroline,Geistlich-1183.

INN,BAN,USAN.

随便看

 

离鸟网收录3541549条中英文词条,其功能与新华字典、现代汉语词典、牛津高阶英汉词典等各类中英文词典类似,基本涵盖了全部常用中英文字词句的读音、释义及用法,是语言学习和写作的有利工具。

 

Copyright © 2004-2024 vtrois.com All Rights Reserved
更新时间:2026/4/7 22:15:37