网站首页  词典首页


请输入您要查询的字词:

 

字词 滚动轴承寿命计算公式
类别 中英文字词句释义及详细解析
释义 滚动轴承寿命计算公式

以滚动轴承最主要的失效形式一疲劳点蚀的产生与扩展规律为依据的计算式如下:

球轴承

本表中:Dw为球直径(mm);Dwe为滚子计算直径(mm);Lwe为滚子计算长度(mm);DpW为球或滚子组的中心圆直径(mm);Z为单列轴承中滚动体个数,多列轴承则指每列滚动体个数(指每列滚动体相等的轴承);a为公称接触角;i为滚动体列数;bm为考虑目前常用材料和加工质量的系数,对一般向心球轴承(深沟球轴承、角接触球轴承、调心球轴承)取1.3;f0为取决于轴承零件的几何形状和应力水平的系数(见表10.4-7);fc为取决于轴承零件的几何形状、制造精度和材料的系数(见GB/T6391—1995)。

表4.10-7 球轴承f0

注:
❶  此表是基于Hertz点接触公式,取弹性模数为2.07×105MPa,泊桑比为0.3,假设向心球轴承中载荷分布的最大球载荷为,推力球轴承为。对于的中间值,其f0值可用线性插入法求取。

❷  表中Dw为钢球直径,Dpw为钢球组的节圆直径(中心圆直径),a为公称接触角。

表4.10-8 温度系数gt

当量动载荷的一般公式如下:

(4.10-3)

式中 Fr、Fa分别为轴承所受的径向、轴向载荷,即轴承所受公称载荷的径向、轴向分量(对于角接触球轴承或圆锥滚子轴承所支承的轴系,由于产生内部轴向力,其计算参见表4.10-11);X、Y分别为径向、轴向系数,见表4.10-9或4.10-18~4.10-27。轴承所受的载荷,除可求出的公称载荷外,还有诸如冲击力、惯性力、重力倾斜作用时的轴向分力、游动轴承的游动阻力、外壳同心误差和轴或外壳的变形而产生的附加力等很多无法计算的因素。为计及其影响,常采用经验而定的载荷系数fd,见表4.10-10。此外,还有一些经验积累的参考值,如轿车前轮用轴承取fd=1.3,越野载重汽车前轮轴承取fd=1.5~1.7(指在差路面行驶工况)〔34、88。而对于车辆变速箱和其它传动机构,只是有时以满转矩工作,但通常是以满转矩计算载荷的,故可不再乘以fd

表4.10-9 径向系数X和轴向系数Y

注:
❶  表中i为滚动体列数,a为公称接触角,C0r为轴承的径向基本额定静载荷。

❷  对于深沟球轴承和a=15°的角接触球轴承,可根据算出的相对轴向载荷值f0Fa/C0r或f0iFa/C0r查出对应的e值,再查出相应的X、Y值。表中未列出的f0Fa/C0r的中间值所对应的e、X、Y值,可用线性插值法求出。

❸  表中深沟球轴承的e、X和Y值,适于该轴承取0组(基本组)径向游隙。如不属于0组,例如为第4组径向游隙,可用与a=15°的角接触球轴承相同的e、X和Y值。

❹  两套相同的深沟球轴承安装在同一支点上,作为一个整体(成对安装)运转时,这对轴承的径向基本额定动载荷按一套双列轴承计算。

❺  两套相同的角接触球轴承(或圆锥滚子轴承)“背靠背”或“面对面”配置作为一整体安装在同一支点上运转时,这对轴承的径向基本额定动载荷按一套双列角接触球轴承(或双列圆锥滚子轴承)计算,并采用双列轴承的X、Y值。但是,对于串联配置的轴承,则采用单列轴承的X、Y值计算当量动载荷;表中f0iFa/C0r中的C0r为单列轴承(即串联轴承两套或两套以上中的一套)的额定静载荷,Fa取此支点所受轴向载荷除以串联轴承的套数。

❻  在推力球轴承和推力滚子轴承中,单列是指单向轴承,双列是指双向轴承。

❼  表中调心轴承的a值由产品样本提供,或直接提供各轴承的e、X、Y值(表4.10-19,表4.10-25)。

表4.10-10 载荷系数fd

注:fd的取值不仅和载荷性质有关,而且和轴承所受公称载荷的计算内容有关,如已将惯性力、不平衡作用力或最大驱动力计入,则取fd为1。

表4.10-11 角接触球轴承和圆锥滚子轴承考虑径向载荷产生的轴向分量时,总轴向载荷Fa的计算公式

注:
❶  图中Fr1和Fr2只是标明其为径向载荷,并不要求在同一平面内。图中A为外加轴向力。

❷  情况Ⅲ、Ⅵ也适于A=0的情况。

❸  Fr1、Fr2的作用位置a1、a2,以及表中e1、e2、Y1、Y2,可查表4.10-20、4.10-27。

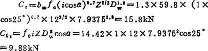
例4.10-1 试计算角接触球轴承7205AC的基本额定动、静载荷Cr和C0r值。已知该轴承内径为25mm,外径为52mm,单列i=1,公称接触角a=25°,钢球直径Dw=7.9375mm,球数Z=12。

解:由GB/T6391—94查得fc=59.8,按表4.10-7,f0=14.42,则按表4.10-6中公式

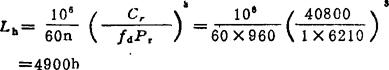
例4.10-2 有一深沟球轴承6308,载荷平稳,所受径向载荷Fr=5200N,轴向载荷Fa=2200N,转速为960r/min。工作温度低于100℃,求其额定寿命。

解:由滚动轴承性能表(见表4.10-18)查得6308轴承的额定动载荷Cr=40800N,额定静载荷C0r=24000N。由表4.10-10查得fd=1。e、X和Y值取决于和Fa/Fr值。由表4.10-7,由于无Dw值,取一般值为12.3。则

由表4.10-18或表4.10-9查得e=0.29,而Fa/Fr>e,则X=0.56,Y=1.5。当量动载荷由式(4.10-3)得

Pr=XFr+YFa=0.56×5200+1.5×2200=6210N

由式(4.10-1),则

即该轴承的额定寿命为4900小时。

当轴承承受恒定力矩时,考虑力矩的当量动载荷Pm可按下式计算

Pm=fmP (4.10-4)

式中P为当量动载荷(N),按式(4.10-3)计算;fm为力矩系数,力矩较小时取为1.5,较大时取为2。

随便看

 

离鸟网收录3541549条中英文词条,其功能与新华字典、现代汉语词典、牛津高阶英汉词典等各类中英文词典类似,基本涵盖了全部常用中英文字词句的读音、释义及用法,是语言学习和写作的有利工具。

 

Copyright © 2004-2024 vtrois.com All Rights Reserved
更新时间:2026/4/8 13:43:45