网站首页  词典首页


请输入您要查询的字词:

 

字词 滤液量的计算
类别 中英文字词句释义及详细解析
释义 滤液量的计算

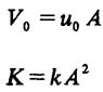
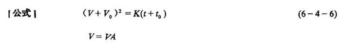
[说明]若假定是稳压过滤(大多数的实际的过滤过程是接近于稳压过程),那么,滤液量可计算如下。

式中 u、V0——过滤常数(m3)

k——过滤常数(m2/s)

其它同上

随便看

 

离鸟网收录3541549条中英文词条,其功能与新华字典、现代汉语词典、牛津高阶英汉词典等各类中英文词典类似,基本涵盖了全部常用中英文字词句的读音、释义及用法,是语言学习和写作的有利工具。

 

Copyright © 2004-2024 vtrois.com All Rights Reserved
更新时间:2026/4/9 11:36:02