网站首页  词典首页


请输入您要查询的字词:

 

字词 漂白实际供给热量的计算
类别 中英文字词句释义及详细解析
释义 漂白实际供给热量的计算

1.漂白实际供给总热量Q′

式中符号含义及单位见下

❶ 加热纸浆对蒸汽放出的热量Q5

式中 D——漂白过程中纸浆加热所耗用的蒸汽的重量(kg/池)

i″——加热蒸汽的比能(kJ/池)

i′——相当于周围环境温度下水的比能(kJ/kg)

❷ 漂白化学反应放出的热量Q4

式中 V——漂白纸浆时所加入漂液的体积(L池)

A——漂液浓度(g有效氯L)

B——漂白化学反应中每克有效氯放出的热量(kJ.g有效氯),取4.61

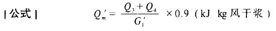
2.漂白实际供给单位热量

式中符号含义及单位同上

随便看

 

离鸟网收录3541549条中英文词条,其功能与新华字典、现代汉语词典、牛津高阶英汉词典等各类中英文词典类似,基本涵盖了全部常用中英文字词句的读音、释义及用法,是语言学习和写作的有利工具。

 

Copyright © 2004-2024 vtrois.com All Rights Reserved
更新时间:2026/4/7 20:46:11