网站首页  词典首页


请输入您要查询的字词:

 

字词 漂白所需有效氯浓度的计算
类别 中英文字词句释义及详细解析
释义 漂白所需有效氯浓度的计算

【公式】

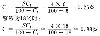
式中 C——有效氯浓度(%)

S——漂自用氯量(漂率)(%)

C1——漂白浆浓(%)

【例】 用氯量为4%,漂白浆浓由6%提高到18%,试求有效氯浓度的变化。

解:浆浓为6%时:

即有效氯浓度由0.25%提高到0.88%。

随便看

 

离鸟网收录3541549条中英文词条,其功能与新华字典、现代汉语词典、牛津高阶英汉词典等各类中英文词典类似,基本涵盖了全部常用中英文字词句的读音、释义及用法,是语言学习和写作的有利工具。

 

Copyright © 2004-2024 vtrois.com All Rights Reserved
更新时间:2026/4/7 7:22:07