网站首页  词典首页


请输入您要查询的字词:

 

字词 漂白段(连续漂白)平衡计算
类别 中英文字词句释义及详细解析
释义 漂白段(连续漂白)平衡计算

【已知】 漂白总损失率α1=8%

进入漂白段的浆料浓度C2=3%

则进入漂白段的绝干纤维量Q2===978.2609

进入漂白段的浆料量V2===32608.6967

漂白总纤维损失量Q=Q2-Q=978.2609-900

=78.2609

1.氯化塔的平衡计算

【已知】 Q2=978.2609

V2=32608.6967

C2=3%

【计算】Q3=Q2=978.2609

V3=V2=32608.6967

C3=C2=3%

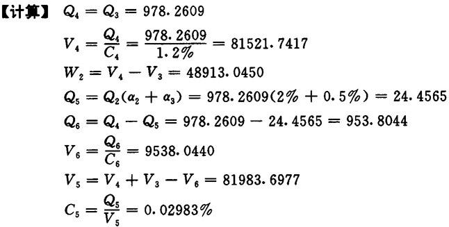
2.1#真空洗浆机平衡计算

【已知】 Q3=978.2609,V3=32608.6967

C3=3%,C4=1.2%

氯化损失率α2=2.0%(以进氯化塔为基准)

洗涤损失率α3=0.5%(以进氯化塔为基准)

C6=10%,W3=10000

3.螺旋输送器的平衡计算

【已知】 Q6=653.8044

V6=9538.0440

C7=8%

【计算】 Q7=Q6=953.8044

W4包括以下三部分:

❶ 加热蒸汽冷凝水:设为900

❷ 碱液:设碱耗1.5%(对绝干浆),碱浓度为20g/L,则:

❸ 水:加水量=W4-900-715.3533=769.1577

4.碱化塔平衡计算

5.2#真空洗浆机

C8=3%,C9=1.2%,C11=10%

W7=10000

碱处理损失α4=3.5%(以进氯化塔纤维量为基准)

洗涤损失率α5=0.5%(以进氯化塔纤维量为基准)

【计算】 Q9=Q8=953.8044

V9==79483.7000

W6=V9-V8=47690.2200

Q10=Q245)=978.2609×(3.5%+0.5%)=39.1304

Q11=Q9-Q10=914.6740

V11==9146.7400

V10=V9+W7-V11=80336.9600

C10==0.04871%

6.螺旋输送器平衡计算

【已知】 Q11=914.6740

V11=9146.7400

C12=8%

【计算】 Q12=Q11=914.6740

V12==11433.4250

W8=V12-V11=2286.6850

W8包括以下三部分:

❶ 漂液:设氯耗2.5%,漂液浓度为20g/L,则:

7.漂白塔平衡计算

8.3#真空洗浆机

【已知】 Q13=914.6740

V13=30489.1333

C14=1.2%

C1=10%

W11=1000

漂白损失率α6=1.0%(对进氯化塔纤维量)

洗涤损失率α7=0.5%(对进氯化塔纤维量)

【计算】 Q14=Q13=914.6740

随便看

 

离鸟网收录3541549条中英文词条,其功能与新华字典、现代汉语词典、牛津高阶英汉词典等各类中英文词典类似,基本涵盖了全部常用中英文字词句的读音、释义及用法,是语言学习和写作的有利工具。

 

Copyright © 2004-2024 vtrois.com All Rights Reserved
更新时间:2026/4/7 8:15:16