漂白粉有效氯含量的测定计算
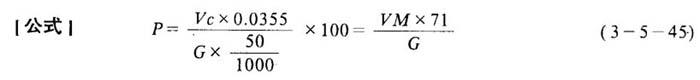
[测定方法]精称试样7.1g于已知重量且具有磨口玻塞的称量瓶中,称后将试样移入瓷研钵内,加少量蒸馏水调成糊状。再加蒸馏水搅匀,澄清片刻,将上层乳液注入1000mL容量瓶中(瓶中预先盛有1/3的蒸馏水)。然后再将残渣研细,加水搅匀,倾入容量瓶中。重复数次,直至试样完全研细并全部移入容量瓶中。加蒸馏水至刻度,充分混合,不待细粒沉降,立即吸取50mL置于250mL具磨口玻塞的锥形瓶中,加入10mL20%碘化钾溶液。摇匀后,再加入10mL20%醋酸溶液,用0.1M硫代硫酸钠标准溶液滴定至淡黄色时,加入2~3mL淀粉指示剂,继续滴定至蓝色消失为止。  式中 P——有效氯含量(%) c、V——硫代硫酸钠标准溶液的浓度(mol/L)及滴定所耗体积(mL) G——试样重(g) |