潮汐调和分析法
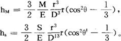
又称谐波分析法,是富利叶分析在潮汐分析与推算中的具体应用。 潮汐涨落随时间的周期变化,是日、月引潮力周期变化的结果。从平衡潮的平衡观点出发推出由月球和太阳以等势面为准的潮高公式为:  式中M是月球质量,S是太阳质量,E是地球质量,D是地月中心距离,r是地球平均半径,D′是地日中心距离,θ是月球天顶距,θ′是太阳天顶距。将以上两式详细展开,可得出一系列简谐振动的分振动,这些分振动叫做分潮,如分析出每一分潮,将它们加起来,便可求出该地的潮高。通过对实测潮汐资料分解出各分潮的方法,叫做潮汐调和分析。 它的重要应用是预报未来的潮位,通常编算成潮汐表为有关部门使用。 |