网站首页  词典首页


请输入您要查询的字词:

 

字词 火场供水中排吸器的应用
类别 中英文字词句释义及详细解析
释义 火场供水中排吸器的应用

排吸器是一种水流喷射泵,用来排除地下室、低洼地面和船舱内的积水(或火场灭火后的积水)以及吸取低水面的水源作为消防用水,是一种较为实用的消防给水设备,其吸水高度可达20米。

(一)排吸器的构造和工作原理

排吸器由本体、弯管、喷嘴、扩散管、底架、滤板、接口等零部件组成,其结构如图2-6-37所示。

1-喷嘴,口径为10毫米;2-混合管,管径为26毫米;3-真空室;4-喷嘴进水管,直径为26毫米;5-出水接口,直径为65毫米;6-进水接口,直径为50毫米;7-吸水口

排吸器的工作原理是:压力水流从排吸器喷嘴高速喷出时;由于流速加快,在喷嘴周围产生负压,在大气压力作用下,水源中的水从排吸器的吸水口进入真空室,与压力水流混合,进入混合室,经由扩散管将水送往火场或排除,起到吸水作用。如图2-6-38。

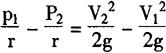
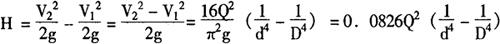
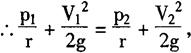
(二)排吸器的真空值

排吸器产生的真空值可用伯诺里方程式决定。例如,对图2-6-38的0-0基准面,作1-1、2—2断面的伯诺里方程式。则:

是1-1与2—2两断面的压力差,可用水头损失H来表示,即

;(d为喷嘴直径,D为喷嘴进口直径,Q为喷嘴流量),故44

(三)排吸器的吸水量

排吸器的吸水量可采用下式计算:

式中:Qx-排吸器吸入流量,l/s;

η——排吸器的效率,η=0.21;

Qg——排吸器的工作压力水流量,l/s;

Hg——排吸器的工作水压力,kPa

H——排吸器的出水压力,kPa。

排吸器的吸水量也可近似的用下式计算:

Qx——1.0Qg

排吸器的工作水流量为:

排吸器工作水压力为

排吸器的出口压力为:Hh=0.131Hg

(四)排吸器的使用范围和方法

消防车上配备的吸水管长度一般不超过8m,如果水源距消防车停靠点超过8m,就无法取水;消防车水泵很难超越障碍,从室内的游泳池,洗澡堂,水池内吸水;若水源的水温较高(如超过60℃),消防水泵就吸不上水来。在上述这些条件下,若采用排吸器与这些消防车水泵联合使用,就能从上述水源地吸水供应火场用水。另外,火场上往往因积水造成水渍损失,火灾扑灭后,用排吸器将火场上的积水排出。

使用时要接好水带,将由消防车水泵或其他水泵出水口铺设的直径为50mm水带接在排吸器进水口上,由排吸器出水口铺设一条直径为65mm水带接到消防车水泵进水口上或放入消防车水罐中,在消防车水泵的另一个出水口上再接出水带和水枪供应火场用水。如果只为了排出火场积水,以减少水渍损失,则不必将回水水带接到水泵进水口或放入水罐中。接好水带后,将排吸器放入水源中。

起动消防水泵,打开水泵出水阀出水,使压力水流缓慢充满50mm水带后再加压,水源中的水就被回到消防水源进水口或水罐中,同时可以打开水泵的另一出水口出水供应火场用水。

由于排吸器的吸入水量较小,为保证火场用水,一般情况下,一辆消防车利用两个排吸器取水,供应火场一支水枪用水。或用两台手抬机动泵与两个排吸器取水,供应一台手抬机动泵用水。

随便看

 

离鸟网收录3541549条中英文词条,其功能与新华字典、现代汉语词典、牛津高阶英汉词典等各类中英文词典类似,基本涵盖了全部常用中英文字词句的读音、释义及用法,是语言学习和写作的有利工具。

 

Copyright © 2004-2024 vtrois.com All Rights Reserved
更新时间:2026/5/25 23:39:01