网站首页  词典首页


请输入您要查询的字词:

 

字词 点算法
类别 中英文字词句释义及详细解析
释义 点算法

在体育课教学中统计学生脉搏次数的方法。

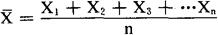
将所测各次心率数相加,除以测量次数即得。计算公式是:

X1,X2,X3…Xn表示各次心率数;n表示测量次数。

例如:某学生在课中共测13次心率,其平均心率为:

(安静心率不列入计算)

点算法求得的平均心率是近似值。为了缩小误差,在计算时可用加矫正点的方法进行矫正计算。

随便看

 

离鸟网收录3541549条中英文词条,其功能与新华字典、现代汉语词典、牛津高阶英汉词典等各类中英文词典类似,基本涵盖了全部常用中英文字词句的读音、释义及用法,是语言学习和写作的有利工具。

 

Copyright © 2004-2024 vtrois.com All Rights Reserved
更新时间:2026/4/8 17:48:43