网站首页  词典首页


请输入您要查询的字词:

 

字词 烘缸内形成水环的临界速度计算
类别 中英文字词句释义及详细解析
释义 烘缸内形成水环的临界速度计算

【说明】 水环的形成取决于缸内凝结水的量、水的粘度、烘缸直径和缸壁粗糙度等。

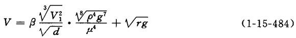
【公式】

式中 V——水环形成的临界速度(m/s)

β——系数

V1——烘缸单位宽度的凝水数量(m3/m)

ρ——水的密度(kg/m2)

g——重力加速度(9.81m/s2)

d——烘缸内径(m)

r——缸内液面半径(m)

μ——水的粘度(kg·s/m3)

——水环表面线速度(m/s)

随便看

 

离鸟网收录3541549条中英文词条,其功能与新华字典、现代汉语词典、牛津高阶英汉词典等各类中英文词典类似,基本涵盖了全部常用中英文字词句的读音、释义及用法,是语言学习和写作的有利工具。

 

Copyright © 2004-2024 vtrois.com All Rights Reserved
更新时间:2026/5/30 17:17:27