网站首页  词典首页


请输入您要查询的字词:

 

字词 烟囱抽力
类别 中英文字词句释义及详细解析
释义 烟囱抽力

烟囱中的热气排出后,对外面气体产生浮力,这种浮力称为抽力。

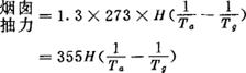
由于这种抽力的作用,使燃烧室发生的燃烧气体放散到大气中,同时在燃烧时将必需的空气引入燃烧室内。其计算公式如下:

式中:1.3表示0℃时燃烧气体的平均浓度(公斤/米3);H表示烟囱高度(米);Ta、Tg表示计算时空气的温度及烟囱内平均的气体温度。

按上式计算抽力时,因为烟囱内部的摩擦、烟囱狭窄以及喷出损失等常常产生涡流阻力,所以实际抽力应从计算抽力中减去这些阻抗。

随便看

 

离鸟网收录3541549条中英文词条,其功能与新华字典、现代汉语词典、牛津高阶英汉词典等各类中英文词典类似,基本涵盖了全部常用中英文字词句的读音、释义及用法,是语言学习和写作的有利工具。

 

Copyright © 2004-2024 vtrois.com All Rights Reserved
更新时间:2026/4/5 18:00:53