网站首页  词典首页


请输入您要查询的字词:

 

字词 烟酸占替诺
类别 中英文字词句释义及详细解析
释义 烟酸占替诺

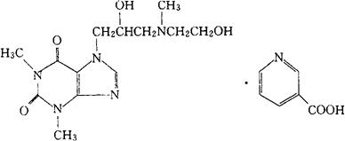
C13H21N5O4·C6H5NO2=434.45

CAS-437-74-1

3-吡啶羧酸与3,7-二氢-7-[2-羟3-[(2-羟乙基)甲氨基]丙基]-1,3-二甲基-1H-嘌呤-2,6-二酮(1∶1)的化合物。

3-Pyridinecarboxylic acid compd.with 3,7-dihydro-7-[2-hydroxy-3-[(2-hydroxyethyl)methylamino]propyl]-1,3-dimethyl-1H-purine-2,6-dione(1∶1).

7-[2-羟-3-[(2-羟乙基)甲氨基]丙基]茶碱与烟酸(1∶1)的化合物。

7-[2-Hydroxy-3-[(2-hydroxyethyl)methylamino]propyl]theophylline,compound with nicotinic acid(1∶1).

血管扩张药。

烟胺羟丙茶碱,占替诺烟酸盐。

Xanthinol Nicotinate,Xanthinol Niacinate,Xantinol Nacotinate,Complamin.

INN(Xantinol Nicotinate),BAN(Xanthinol Nicotinate),DCF,DCTT,GDP,NFN,USAN,MI.

随便看

 

离鸟网收录3541549条中英文词条,其功能与新华字典、现代汉语词典、牛津高阶英汉词典等各类中英文词典类似,基本涵盖了全部常用中英文字词句的读音、释义及用法,是语言学习和写作的有利工具。

 

Copyright © 2004-2024 vtrois.com All Rights Reserved
更新时间:2026/4/7 7:43:53