网站首页  词典首页


请输入您要查询的字词:

 

字词 热传导的计算
类别 中英文字词句释义及详细解析
释义 热传导的计算

【说明】 热传导是指通过介质(固体、液体或气体)中相邻分子间的能量传递而得到热量的流动。下式表示在稳态下热传导的关系。

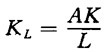
【公式】

式中 qk——单位时间内传导的热量(J/s)

K——热传导系数[J/(m·K·s)]

A——横截面积(m2)

△T——温度差(K)

L——测得温度差的两点的距离(m)

KL——热传导率[J/(K·s)]

随便看

 

离鸟网收录3541549条中英文词条,其功能与新华字典、现代汉语词典、牛津高阶英汉词典等各类中英文词典类似,基本涵盖了全部常用中英文字词句的读音、释义及用法,是语言学习和写作的有利工具。

 

Copyright © 2004-2024 vtrois.com All Rights Reserved
更新时间:2026/5/31 15:11:47