烯丙托啡
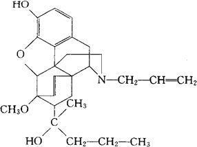
C27H35NO4=487.58 CAS-23758-80-7 17-烯丙基-17-脱甲基-7α-((1R)-1-羟基-1-甲丁基-6,14-亚乙烯桥四氢东罂粟碱。 17-Allyl-17-demethyl-7α-((R)-1-hydroxy-1-methylbutyl)-6,-14-endo-ethenotetrahydrooripavine. 4,5-环氧-3-羟基-6-甲氧基-α-甲基-17-(2-丙烯基)-α-丙基-6,14-亚乙烯基吗啡喃-7-甲醇。 4,5-Epoxy-3-hydroxy-6-methoxy-α-methyl-17-(2-propenyl)α-propyl-6,14-ethenomorphinan-7-methanol. 麻酸性镇痛药。 阿乃托啡。 Alletorphine,R&S 218-M,M-218,N-Allylnoretorphine. INN,BAN,USAN. 
|