网站首页  词典首页


请输入您要查询的字词:

 

字词 烷烃、烯烃、炔烃、苯的同系物含碳质量分数的变化规律
类别 中英文字词句释义及详细解析
释义 烷烃、烯烃、炔烃、苯的同系物含碳质量分数的变化规律

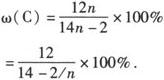
1.烷烃:通式:CnH2n+2(n≥1)

当n=1时,ω(C)最小为75%,随n值增大,ω(C)逐渐增大

当n→∞是,ω(C)最大为85.7%.

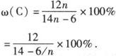
2.烯烃:通式CnH2n(n≥2)

是一常数,与n无关.

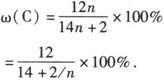
3.炔烃:通式CnH2n—2(n≥2)

当n=2时,ω(C)最大为92.3%,随n值增大,ω(C)逐渐减小.

当n→∞时,ω(C)最小为85.7%.

4.苯的同系物:通式CnH2n—6(n≥6)

当n=6时,ω(C)最大为92.3%,随n值增大,ω(C)逐渐减小.

当n→∞时,ω(C)最小为85.7%.

随便看

 

离鸟网收录3541549条中英文词条,其功能与新华字典、现代汉语词典、牛津高阶英汉词典等各类中英文词典类似,基本涵盖了全部常用中英文字词句的读音、释义及用法,是语言学习和写作的有利工具。

 

Copyright © 2004-2024 vtrois.com All Rights Reserved
更新时间:2026/5/26 12:07:13