网站首页  词典首页


请输入您要查询的字词:

 

字词 焚烧炉的热平衡计算
类别 中英文字词句释义及详细解析
释义 焚烧炉的热平衡计算

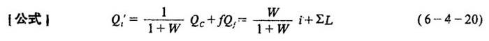
[说明]在焚烧炉中以单位污泥量计的热平衡可用下式表示。

式中 Q′t——单位污泥供给热量(kJ/kg物料)

∑L′——各种单位热损失量((kJ/kg物料)

其它同上

随便看

 

离鸟网收录3541549条中英文词条,其功能与新华字典、现代汉语词典、牛津高阶英汉词典等各类中英文词典类似,基本涵盖了全部常用中英文字词句的读音、释义及用法,是语言学习和写作的有利工具。

 

Copyright © 2004-2024 vtrois.com All Rights Reserved
更新时间:2026/5/25 22:44:51