网站首页  词典首页


请输入您要查询的字词:

 

字词 焚烧炉的热效率计算
类别 中英文字词句释义及详细解析
释义 焚烧炉的热效率计算

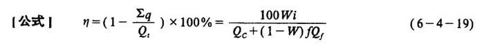
[说明]对焚烧炉和加热炉来说,热效率可用下式计算。

式中 η——热效率(%)

∑q——各种热损失量(kJ)

Qt——供给的总热量(kJ)

W——以污泥干量为基准的含水量(干基水分)(kg)

i——水分的蒸发潜热(kJ/kg)

Qc——泥饼中固形物的发热量(kJ/kg)

Qf——辅助燃料的发热量(kJ/kg)

f——每kg泥饼的辅助燃料用量(kg/kg)

随便看

 

离鸟网收录3541549条中英文词条,其功能与新华字典、现代汉语词典、牛津高阶英汉词典等各类中英文词典类似,基本涵盖了全部常用中英文字词句的读音、释义及用法,是语言学习和写作的有利工具。

 

Copyright © 2004-2024 vtrois.com All Rights Reserved
更新时间:2026/5/25 18:34:35