网站首页  词典首页


请输入您要查询的字词:

 

字词 煤的准备计算
类别 中英文字词句释义及详细解析
释义 煤的准备计算

1.贮煤场面积的估算

[说明]贮煤场面积需根据锅炉的燃煤量、产煤地区与工厂的距离及运输等条件来确定。火车运煤,如需经过国家的铁路干线,则贮煤场的面积应能存放不少于30d的锅炉最大燃煤量;如用专用铁路线供煤,则应贮存不少于15d的锅炉最大燃煤量。对于船舶运煤,应考虑到停航期因素,贮煤场应能存放不少于30d的锅炉最大燃煤量。汽车运煤,因工厂离产地近或由当地煤建(或燃料)公司拨运,一般按贮存7~14天的锅炉最大燃煤量计算贮煤场面积。

1-无烟煤、贫煤、烟煤(筒式球磨机、中速磨煤机) 2-贫煤、烟煤(中速磨煤机) 3-烟煤(竖井磨煤机)、褐煤(筒式球磨机、中速磨煤机) 4-褐煤(中速磨煤机) 5-褐煤(竖井磨煤机)

❷ 估算法

[说明]对于烟煤,经济细度也可进行估算。

式中 Ra0——煤粉的经济细度(%)

V.——燃料的可燃质挥发分(%)

3.竖井式磨煤机竖井高度的计算

[说明]根据经验,竖井式磨煤机竖井高度应不少于下式计算所得值,且不小于4m。

式中 h——竖井高度(m)

a——竖井的深度(m)

I——转子的长度(m)

c——锤子外缘和机壳间隙(m),一般等于0.03m

b——竖井的宽度(m)

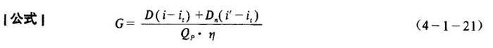
4.锅炉单位时间燃煤量的计算

[说明]锅炉单位时间的燃煤量,是由单位时间所产蒸汽量和所用煤的发热量决定的。

式中 G——燃煤量(kg/h)

D——蒸汽的最大生产量(kg/h)

i——蒸汽的比能(kJ/kg)

i——给水的比能(kJ/kg)

Dn——排污水量(kg/h)

i——排污水的比能(kJ/kg)

η——锅炉效率(%)

Qp——煤的低位发热量(kJ/kg),不同煤种,其发热量不同,见表4-1-2

表4-1-2 几种煤的发热量及其成分

注:1kcal/kg=4.1868kJ/kg

随便看

 

离鸟网收录3541549条中英文词条,其功能与新华字典、现代汉语词典、牛津高阶英汉词典等各类中英文词典类似,基本涵盖了全部常用中英文字词句的读音、释义及用法,是语言学习和写作的有利工具。

 

Copyright © 2004-2024 vtrois.com All Rights Reserved
更新时间:2026/5/27 18:07:01