网站首页  词典首页


请输入您要查询的字词:

 

字词 煤的工业分析和元素分析换算
类别 中英文字词句释义及详细解析
释义 煤的工业分析和元素分析换算

[说明]对于煤的分析,有时因实验条件的限制,只能作简单的工业分析,而在热力计算中,又必须知道元素分析数据,为此需进行两者的换算。

1.燃料基之间的换算因数

[说明]见表4-1-1。

表4-1-1 燃料基的换算因数

注:表中W表示水分,A表示灰分,g表示工作基,f表示分析基,Z表示干燥基,r表示可燃基。

2.将工业分析中的固定碳及挥发分换算成去水干燥可燃基

式中 C′r——可燃基固定碳(%)

C1——工业分析中的固定碳(%)

47——工业分析中的灰分(%)

V——可燃基挥发分(%)

V1——工业分析中的挥发分(%)

3可燃基元素分析换算经验计算

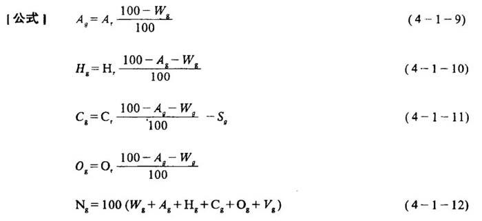
4.可燃基元素分析换算为工作基元素分析

式中 Ag、A1——分别表示工作基和可燃基灰分(%)

Ha、Hr——分别表示工作基和可燃基的氢元素(%)

Ca、Cr——分别表示工作基和可燃基的固定碳(%)

Oa、Or——分别表示工作基和可燃基的氧元素(%)

Wa——工作基水分(%)

Na——工作基氮元素(%)

S8——工作基硫元素(%)

5.发热量的计算——门捷列夫公式

式中 ——用门捷列夫公式计算出的发热量(kcal/kg)(1kcal/kg=4.1868kJ/kg)

其它同上

6.由氧氮发热量计算高位发热量

式中 Qg——高位发热量(kcal/kg)

Qd1——氧弹发热量(kcal/kg)

22.5SBt、0.0015Q81——氧弹中硫的氧化热及溶解热(kcal/kg)

7.元素分析的正确性校验计算

[说明]用门捷列夫公式计算出来的数值是比较准确的,虽略有出入,但数值不超过150~200kcal/kg,因而,常用以校验元素分析的正确性。

式中符号含义及单位同上

随便看

 

离鸟网收录3541549条中英文词条,其功能与新华字典、现代汉语词典、牛津高阶英汉词典等各类中英文词典类似,基本涵盖了全部常用中英文字词句的读音、释义及用法,是语言学习和写作的有利工具。

 

Copyright © 2004-2024 vtrois.com All Rights Reserved
更新时间:2026/4/7 11:19:16