网站首页  词典首页


请输入您要查询的字词:

 

字词 煮茧能力
类别 中英文字词句释义及详细解析
释义 煮茧能力

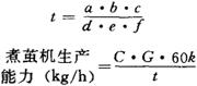
煮茧机的生产能力是指煮茧机在单位时间内所能煮出的茧量,它决定于煮茧时间、煮茧机的茧桶数和单桶茧量。

煮茧时间与茧的煮熟要求密切相关。其关系式:

式中a——蜗轮齿数(一般为84,个别为88或95);

b——每笼键条节数(一般为4);

c——全机茧笼数(一般为104);

d——链轮齿数(一般为26,个别为28);

e——蜗杆转速(r/min);

f——蜗杆头数(一般为1);

G——每笼桶数(一般为2);

k——每桶茧量(kg);

t——煮茧时间(min)。

随便看

 

离鸟网收录3541549条中英文词条,其功能与新华字典、现代汉语词典、牛津高阶英汉词典等各类中英文词典类似,基本涵盖了全部常用中英文字词句的读音、释义及用法,是语言学习和写作的有利工具。

 

Copyright © 2004-2024 vtrois.com All Rights Reserved
更新时间:2026/4/8 10:07:51