网站首页  词典首页


请输入您要查询的字词:

 

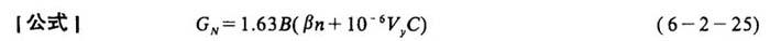
字词 燃料燃烧产生的氮氧化物的计算
类别 中英文字词句释义及详细解析
释义 燃料燃烧产生的氮氧化物的计算

式中 Gx——燃料燃烧生成的氮氧化物(kg)(以NO2计)

B——煤或重油耗量(kg)

β——燃料氮向燃烧型NO的转化率(%),与燃料含氮量n有关;普通燃烧条件下,燃煤层燃炉为25~50%;燃油锅炉32~40%;煤粉炉可取20~25%

n——燃料中氮的含量(%),见表6-2-7

表6-2-7 锅炉用燃料的含氮量n

Vy——燃料生成的烟气量(标准m3/kg)

C——燃烧时生成的温度型NO浓度(mg/标准m3),通常可取70ppm,即93.8mg/标准m3

随便看

 

离鸟网收录3541549条中英文词条,其功能与新华字典、现代汉语词典、牛津高阶英汉词典等各类中英文词典类似,基本涵盖了全部常用中英文字词句的读音、释义及用法,是语言学习和写作的有利工具。

 

Copyright © 2004-2024 vtrois.com All Rights Reserved
更新时间:2026/4/7 11:49:49