网站首页  词典首页


请输入您要查询的字词:

 

字词 物资库存周转速度
类别 中英文字词句释义及详细解析
释义 物资库存周转速度

指生产企业在一定时期内各种物资的周转次数或周转一次所需要的时间。

反映物资库存管理工作水平的指标。计算公式为:

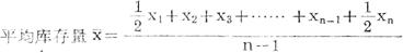
平均库存量的计算公式为:

式中:x为各月月初库存量,n为月数。

定期核算和经常检查物资库存周转速度,可以促使企业合理储备和充分利用现有物资,减少资金占用,加速资金周转,提高经济效益。

随便看

 

离鸟网收录3541549条中英文词条,其功能与新华字典、现代汉语词典、牛津高阶英汉词典等各类中英文词典类似,基本涵盖了全部常用中英文字词句的读音、释义及用法,是语言学习和写作的有利工具。

 

Copyright © 2004-2024 vtrois.com All Rights Reserved
更新时间:2026/4/6 23:07:27