网站首页  词典首页


请输入您要查询的字词:

 

字词 物资调运数学模型
类别 中英文字词句释义及详细解析
释义 物资调运数学模型

亦称“运输问题”。

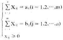
指物资合理调运问题的构模和求解方法,属线性规划的专门问题。设某种要调运的物资,有m个供应地A1、A2、…、Am,供应量分别为a1、a2、…、am;有n个需要地B1、B2、…、Bn,需求量分别为b1、b2、 、bn;单位物资从第i个供应地到第j个需要地的运费(也可认为是计费里程)Cij为已知,确定一个合理的供需联系和供需数量调运方案,使总运费(或运输总吨公里数)为最小。用Xij表示供应地i调运给需要地j的物资数量,在供需平衡即的条件下,这一问题的数学模型为:求xij(i=1,2,…,m;j=1,2,·,n),满足约束条件:

使目标函数达到:

求解这一问题一般采用表上作业法。

随便看

 

离鸟网收录3541549条中英文词条,其功能与新华字典、现代汉语词典、牛津高阶英汉词典等各类中英文词典类似,基本涵盖了全部常用中英文字词句的读音、释义及用法,是语言学习和写作的有利工具。

 

Copyright © 2004-2024 vtrois.com All Rights Reserved
更新时间:2026/5/25 10:23:03