网站首页  词典首页


请输入您要查询的字词:

 

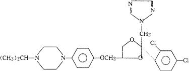
字词 特康唑
类别 中英文字词句释义及详细解析
释义 特康唑

C26H31Cl2N5O3=532.47

CAS-67915-31-5

顺-1-[4-[[2-(2,4-二氯苯基)-2-(1H-1,2,4-三唑-1-基甲基)-1,3-二氧戊环-4-基]甲氧]苯基]-4-(1-甲基乙基)-哌嗪。

Piperazine,1-[4-[[2-(2,4-dichlorophenyl)-2-(1H-1,2,4-triazol-1-ylmethyl)-1,3-dioxolan-4-yl]methoxy]-phenyl]-4-(1-methylethyl)-,cis-.

顺-1-[对-[[2-(2,4-二氯苯基)-2-(1H-1,2,4-三唑-1-基甲基)-1,3-二氧戊环-4-基]甲氧]苯基]-4-异丙基哌嗪。

cis-1-[p-[[2-(2,4-Dichlorophenyl)-2-(1H-1,2,4-triazol-1-ylmethyl)-1,3-dioxolan-4-yl]methoxy]phenyl]-4-isopropylpiperazine.

抗真菌药。

Terconazole,Terazol Cream & Suppositories,R-42,470 Triaconazole,Fungistat,Gyno-Terazol,Tercospor.

INN,BAN,DCF,DCIT,USAN.

随便看

 

离鸟网收录3541549条中英文词条,其功能与新华字典、现代汉语词典、牛津高阶英汉词典等各类中英文词典类似,基本涵盖了全部常用中英文字词句的读音、释义及用法,是语言学习和写作的有利工具。

 

Copyright © 2004-2024 vtrois.com All Rights Reserved
更新时间:2026/4/6 23:34:55