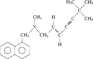
特比萘芬
C21H25N=291.44 CAS-91161-71-6 l-萘甲烷胺,N-(6,6-二甲基-2-庚烯-4-炔基)-N-甲基-,(E)-。 1-Naphthalenemethanamine,N-(6,6-dimethyl-2-hepten-4-ynyl)-N-methyl-,(E)-. (E)-N-(6,6-二甲基-2-庚烯-4-炔基)-N-甲基-1-萘甲烷胺。 (E)-N-(6,6-Dimethyl-2-hepten-4-ynyl)-N-methyl1-naphthalenemethylamine. 抗真菌药。 Terbinafine,SF 86-327. INN,BAN,USAN.  |