网站首页  词典首页


请输入您要查询的字词:

 

字词 狭叶当归
类别 中英文字词句释义及详细解析
释义 狭叶当归

【名称出处】:《东北草本植物志》

【概况】:

异名 水大活(黑龙江)。

基源 为伞形科当归属植物狭叶当归的根。

原植物 狭叶当归Angehca anomala Ave-Lall.,又名库页白芷、额水当归、白山独活(《东北植物检索表》),异形当归(《中国种子植物分类学》)。

形态 多年生草本,高80~150cm。根粗大,纺锤形至圆柱形,长达20cm,径0.6~3cm,常有分枝,表皮黄褐色至灰褐色。

茎基粗1~2cm,带紫色,被短毛。基生叶几贴伏地面,三回羽状全裂;茎生叶二~三回羽状全裂,叶柄比叶片短,基部膨大成椭圆状披针形的叶鞘抱茎,外面密生短毛;叶片轮廓为卵状三角形,长15~20cm,宽8~15cm,有一回羽片2~4对,末回裂片椭圆形至披针形,长2~4cm,宽0.3~1.5cm,有时3裂,边缘具尖锐细锯齿,并有白色软骨质边缘;茎上部叶的叶柄全部成长圆筒状的叶鞘,不膨大,贴伏抱茎,带紫色。

复伞形花序,花序梗、伞辐和花柄均密生短糙毛;伞辐20~45,开展;无总苞或1片早落;小总苞片3~7,线状锥形,膜质,被短毛;小伞形花序有花20~40;花白色;萼齿不明显。果实长圆形至卵形,长4~6mm,宽3~4mm,背棱线形,隆起,侧棱宽翅状,与果体近等宽;棱槽内有油管1,黑褐色,合生面油管2,油管宽而扁。

花期7~8月,果期8~10月。(图见《中国植物志》,第55卷.第3分册.23页.图版8 7-9)

生境与分布 生于山坡路旁、草地、林缘、溪边、阔叶林下和石砾质河滩上。分布于黑龙江、吉林、内蒙古。朝鲜、原苏联西伯利亚东部也有分布。

。【化学】:

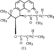
含香豆素类化合物:伞形花内酯(Umbelliferone)、白芷灵(Anomalin)(1)。

参考文献 CA 1982;76:70067v

【药性】:

性味 根:辛、温。

功效 发表,祛风,止痛,活血。

主治 感冒头痛,牙痛,痈肿疼痛等症。

随便看

 

离鸟网收录3541549条中英文词条,其功能与新华字典、现代汉语词典、牛津高阶英汉词典等各类中英文词典类似,基本涵盖了全部常用中英文字词句的读音、释义及用法,是语言学习和写作的有利工具。

 

Copyright © 2004-2024 vtrois.com All Rights Reserved
更新时间:2026/5/25 23:41:58