猫儿屎果
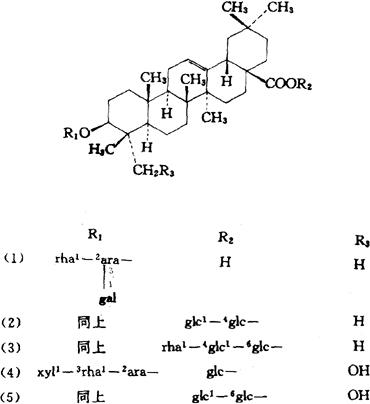
【概况】: 基源 为木通科猫儿屎属植物猫儿屎的果果。 原植物 猫儿屎Decaisnea fargesii Franch. 余项参见“猫儿屎”条。 【生药】: 采集 秋季采收成熟果实,晒干。 【化学】:  果含天冬氨酸、苏氨酸、丝氨酸、谷氨酸、脯氨酸、甘氨酸、丙氨酸、胱氨酸、缬氨酸、蛋氨酸、亮氨酸、异亮氨酸、酪氨酸、苯丙氨酸、赖氨酸、组氨酸、精氨酸等[1]。 从茎分得五个新三萜甙猫儿屎甙A~E(DecaisosideA~E(1~5),前三者皂甙元为齐墩果酸,后二者为常春藤皂甙元,以及五个已知皂甙[2]。 参考文献 [1] 营养学报 1990;12(1):100-2 [2] Phytochemistry 1993;33(2)∶427 【药性】: 性味 甘、辛,平。 功效 清肺止咳,祛风除湿,清热解毒。 主治 ❶ 《贵州草药》:“润燥,治皮肤皲裂。” ❷ 《陕西中草药》:“治肛门烂,阴痒,疝气。” 用法用量 内服:煎汤,30~60g。外用:煎水洗或煎取浓汁搽。 。【临床应用】: 单方应用 《全国中草药汇编》:“治肺结核咳嗽,风湿关节痛,阴痒:猫儿屎果15~30g,水煎服。” |