网站首页  词典首页


请输入您要查询的字词:

 

字词 王瓜根
类别 中英文字词句释义及详细解析
释义 王瓜根

【名称出处】:《别录》

【概况】:

异名 土瓜根(《金匮要略》),堵拉、耗子枕头(《贵阳民间药草》),土花粉(《闽东本草》)。

基源 为葫芦科栝楼属植物王瓜的根。

原植物 王瓜Trichosanthes cucumeroides(Ser.)Maxim.(Trichosanthes Cavaleria Lévl.;Bryonia cucumroides Ser.)

余项参见“王瓜”条。。

【生药】:

采集 夏、秋季采挖。

药材产江苏、浙江及江西。

贮藏 置干燥处,防蛀。

鉴别 块根纺缍形,2~9个簇生状,直径约3cm。断面洁白或黄白色,粉性。

味稍苦涩。

【化学】:

含一种新的引产有效蛋白,命名为β-天花粉蛋白(β-Trichosanthm)分子量为28000,分子中不含半胱氨酸,活性是天花粉蛋白(Trichosanthin)的二倍[1]

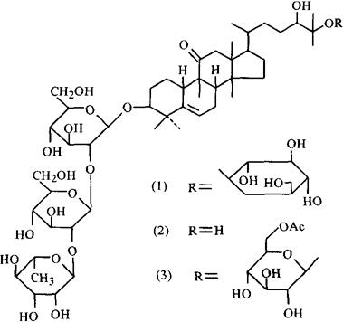
另据报告还含另一种引产有效蛋白,效价比栝楼和日本栝楼所含蛋白质高6倍[2]。还含胡芦烷型(Cucurbitane type)三萜皂甙:氧化葫芦烯四糖甙(1)、氧化葫芦烯三糖甙(2)和氧化葫芦烯乙酰葡萄糖四糖甙(3)[3]

精氨酸、胆碱、棕榈酸甲酯、甾醇类化合物等[3-4]

参考文献 [1] CA 1987;107:333624a [2] CA 1989;110:225631w [3] 药学杂志(日) 1989;109(4):256 [4] Chem Pharm Bull 1982;30(7):2570。

【药理】:

本品所含的天花粉蛋白对妊小鼠及家犬均能杀死胎仔。

但具较强的抗原性,对小鼠、豚鼠均能引起过敏反应,严重时可导致死亡。对家犬可引起精神萎靡、食减,白细胞总数增高并明显左移现象;心电图有S-T段降低。大剂量可影响肝、肾功能,引起实质细胞轻度变性,出血,甚至坏死。

参考文献 中药志.第1册.第2版.人民卫生出发版社,1978:323。

【药性】:

性味 苦,寒。

❶ 《本经》:“味苦,寒。”
❷ 《别录》:“无毒。”
❸ 《药性论》:“平。”
❹ 《本草拾遗》:“有小毒。”

归经 胃、大肠、肺经。 ❶ 《得配本草》:“入手、足阳明经。”
❷ 《会约医镜》:“入心、肺、膀胱三经。”

功效 清热,生津,破血,消瘀,行水。

主治 热病烦渴,黄疸,热结便秘,或小便不利,带下,经闭,落胎,癥癖,痈肿及面黑面疮。 ❶ 《本经》:“主消渴内痹,瘀血月闭,寒热酸痛,益气愈聋。”
❷ 《别录》:“疗诸邪气热结,鼠瘘,散痈肿留血,妇人带下不通,下乳汁,止小便数不禁,逐四肢骨节中水,治马骨刺人疮。”
❸ 《新修本草》:“疗黄疽,破血。”
❹ 《本草拾遗》:“主小儿闪癖,痞满,痰疟,取根及叶。”
❺ 《日华子本草》:“主天行热疾,酒黄病,壮热心烦闷,排脓,热劳。治扑损,消瘀血,破癥癖,落胎。


❻ 《纲目》:“利大小便,治面黑面疮。”
❼ 《本草备要》:“治伤寒发斑。”

用法用量 内服:煎汤3~9g(鲜品60~90g);或捣汁。

外用:捣敷或磨汁涂。

使用注意 脾胃虚寒及孕妇慎服。《本草从新》:“稍稍涉虚,切勿妄投。”

。【临床应用】:

配伍应用 ❶ 配白石脂、桂心、菟丝子,治肾虚溲如泔。

❷ 配黄酒,通乳汁。
❸ 配伏龙肝,治发斑,虚者禁用。

方选和验方 ❶ 土瓜根散(《圣惠方》)治伤寒烦渴不止:土瓜根30g,麦门冬(去心)30g,甘草(炙,微赤、锉)、枇杷叶(拭去毛,炙微黄)各15g。上药捣粗罗为散,每服12g,以水200ml,煎至6分,不计时候,去滓温服。

❷ 土瓜根散(《圣惠方》)治黄疸,其小便自利,白如泔色,此得之因酒过伤:土瓜根30g,白石脂30g,桂心30g,瓜蒌根30g,菟丝子(酒浸1日,曝干,别捣为末)30g,牡蛎(烧,为粉)30g。上药捣罗为散,每服,煮大麦粥饮调下6g,日三四服。

❸ 土瓜根散(《金匮要略》)治带下,经水不利,少腹满痛,经1月再见者:土瓜根、芍药、桂枝、虫各0.9g。上4味,杵为散,酒服2g,日服。

单方应用 ❶ 《肘后方》:“治黄疸变成黑疽:土瓜根汁,顿服200ml,平旦服,食后须汗,当小便出,愈,不尔再服。”
❷ 《肘后方》:“治小便不通及关格:生土瓜根捣取汁,以少水解之,筒中吹下部,取通。”
❸ 《肘后方》:“治大便不通:土瓜根捣汁,入少水解之,吹入肛门内。二便不通,前后吹之,取通。


❹ 《福建民间草药》:“治痈疽初起:土瓜根块60~120g,酌加水煎成100ml,日服2次;渣和红糖捣烂,加热敷贴。”
❺ 《闽东本草》:“治睾丸肿大:王瓜根60g,猪赤肉120g。加老酒适量炖服。”
❻ 《江西民间草药验方》:“治风水咽喉肿痛,乳蛾:王瓜根,晒干,研极细末,每次少吹于患处,口含片刻,吐去痰诞,日吹五六次。”
❼ 江西《草药手册》:“痢疾:王瓜根6~9g,十大功劳根3~6g。水煎,每日1剂,分2次服。”
❽ 江西《草药手册》:“治口腔破烂,咽喉肿痛:土瓜根6~9g,切片,放入口内含,令其唾液流掉,每日含1~3次。”
❾ 江西《草药手册》:“治指疔:王瓜根研末,加烧酒调成糊状,用鸭毛蘸涂;或加入蟾酥适量,鸡蛋清1个调匀,频频涂患处,疗效更速。若已溃者,用根研末,加蜜糖调成饼状,敷患处。每日换药1次。


❿ 江西《草药手册》:“治汤火伤:鲜王瓜根适量,加井或泉水擂成糊状涂。每日3~4次。

” ⑾江西《草药手册》:“治毒蛇咬伤:王瓜根适量,研细末,加井水或泉水,调成饼状敷患处;另取根用烧酒磨成乳状,频涂于伤口周围肿胀处。内服:王瓜根18~30g,水煎,1次服,每日1次;或用根研末,开水送服。” ⑿湖南科学实验动态 1971;(6):“治慢性咽炎:山苦瓜块根60g切碎,用30%乙醇500ml浸泡2~5天,将溶液滴在8×12cm垫子上,置于前颈,接上电源阳极,后颈按上阴极,电流3~5毫安,每次20分钟,每日1次,连续数天。”。【医药家论述】:

❶ 缪希雍《本草经疏》:“王瓜根,其能除湿热热毒,大约与栝楼性同,故其主治内疽消渴,邪气热结,鼠瘘痈肿等证,皆与栝楼相似,而此则入血分诸病为多耳。”
❷ 刘若金《本草述》:“《经》云,寒泣血,而《本经》于王瓜主治,乃以苦寒而致活血之用,盖观《本经》首云消渴、内痹,乃继以瘀血、月闭,则知此种所治之瘀血,盖因于热者也。即《别录》首云疗诸邪气热结,而《日华子》亦首主攻天行热疾,则其义益明矣。

虽然,细绎其用,非专以通瘀为功也。

如《别录》更云止小便数不禁,又云逐四肢骨节中水。

夫小水及四肢骨节中水,与人身之血是二是一,故又以仲景《金匮》方治经水不利,带下小腹满,或经一月再见者,俱主以王瓜根散者参之,如其专于通瘀,何为有两利之功哉?绎《本经》益气二字,及其功耳。先哲所云,气如橐籥,血如波澜是也。”
❸ 邹澍《本经疏证》:“土瓜根之治,大率皆似通而实不通之侯,故《别录》所载,既云妇人带下,紧接以不通,四肢骨节间有水,小便仍利;与《金匮》所谓经水不利,月事一月再行者,若合符节。即阳明津液内竭,大便不通之不容下者,以此导之,则亦可知其旨趣之所在矣。”
❹ 张德裕《本草正义》:“土瓜根以视蒌根,苦寒过之,故能通热结之血瘀,亦与《别录》言蒌根通月水同义,非泛治诸虚不足,以痹著瘀血月闭也。寒热酸疼,亦以热胜而血液不足,则为疼酸。所谓益气者,亦以热能伤气,去热即所以益气,又即《本经》蒌根补虚安中之义,其能愈聋者,聋必耳中隆隆,皆治诸邪气热结,五字作一句读,所谓邪气者,即热邪也。鼠瘘痈肿,无非热结留血之病。

带下之与不通,虽似病状绝异,然此之不通,仍以瘀热而言。带下则固多有湿盛热烁,灼成浊垢者,导其热,清其瘀,则带下自已,其止小便数,亦与蒌根止小便利同一功用。

随便看

 

离鸟网收录3541549条中英文词条,其功能与新华字典、现代汉语词典、牛津高阶英汉词典等各类中英文词典类似,基本涵盖了全部常用中英文字词句的读音、释义及用法,是语言学习和写作的有利工具。

 

Copyright © 2004-2024 vtrois.com All Rights Reserved
更新时间:2026/4/9 1:37:08