网站首页  词典首页


请输入您要查询的字词:

 

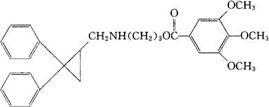
字词 环丙地尔
类别 中英文字词句释义及详细解析
释义 环丙地尔

C29H33NO5=475.58

CAS-64552-16-5

3-[[(2,2-二苯环丙基)甲基]氨基]丙基3,4,5-三甲氧苯甲酸酯。

3-[[(2,2-Diphenylcyclopropyl)methyl]amino]propyl 3,4,5-trimethoxybenzoate.

血管扩张药。

Ecipramidil,Normergyl.

INN,USAN.

随便看

 

离鸟网收录3541549条中英文词条,其功能与新华字典、现代汉语词典、牛津高阶英汉词典等各类中英文词典类似,基本涵盖了全部常用中英文字词句的读音、释义及用法,是语言学习和写作的有利工具。

 

Copyright © 2004-2024 vtrois.com All Rights Reserved
更新时间:2026/5/31 21:52:55