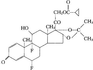
环丙缩松
C28H34F2O7=520.57 CAS-58524-83-7 6α,9-二氟-11β,16α,17,21-四羟孕甾-1,4-二烯-3,20-二酮与丙酮形成环16-17-乙缩醛21-环丙烷酸酯。 6α,9-Difluoro-11β,16α,17,21-tetrahydroxypregna1,4-diene-3,20-dione cyclic 16,17-acetal with acetone,21-cyclopropanocarboxylate. 皮质激素类药。 环丙奈德。 Ciprocinonide. INN,USAN. 
|