网站首页  词典首页


请输入您要查询的字词:

 

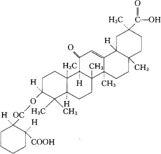
字词 环克索龙
类别 中英文字词句释义及详细解析
释义 环克索龙

C38H56O7=624.86

CAS-52247-86-6

CAS-52048-39-2(disodium)

3β-羟基-11-氧齐墩果-12-烯-30-酸氢顺-1,2-环己烷二羧酸酯。

3β-Hydroxy-11-oxoolean-12-en-30-oicacidhydrogen cis-1,2-cyclohexanedicarboxylate.

顺式-3-[[(2-羧基环己基)羰基]氧]-11-氧代齐墩果-12-烯-29-酸。

cis-3-[[(2-Carboxycyclohexyl)carbonyl]oxy]-11-oxoolean-12-en-29-oic acid.

消炎药。用于治疗胃溃疡。

西克罗索龙,环索龙。

Cicloxolone,Bx 363A(as Disodium).

INN,BAN,USAN.

随便看

 

离鸟网收录3541549条中英文词条,其功能与新华字典、现代汉语词典、牛津高阶英汉词典等各类中英文词典类似,基本涵盖了全部常用中英文字词句的读音、释义及用法,是语言学习和写作的有利工具。

 

Copyright © 2004-2024 vtrois.com All Rights Reserved
更新时间:2026/4/6 20:04:37