环孢霉素
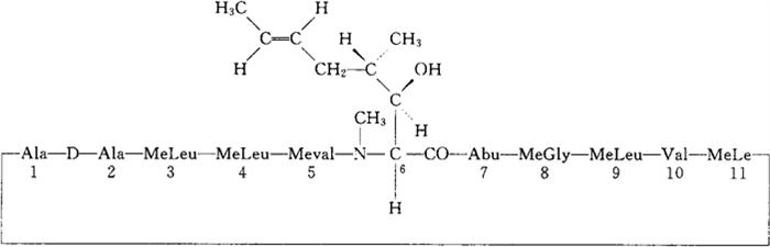
C62H111N11O12=1202.63 CAS-59865-13-3 环[[(E)-(2S,3R.4R)-3-羟-4-甲基-2-甲氨基-6-辛烯酰]-L-2-氨基丁酰-N-甲甘氨酰-N-甲基-L-亮氨酰-L-缬氨酰-N-甲基-L-亮氨酰-L-丙氨酰-D-丙氨酰-N-甲基-L-亮氨酰-N-甲基-L-亮氨酰-N-甲基-L-缬氨酰]。 Cyclo[[(E)-(2S,3R,4R)-3-hydroxy-4-methyl-2-(methylamino)-6-octenoyl]-L-2-aminobutyryl-Nmethylglycyl-N-methyl-L-leucyl-L-valyl-N-methylL-leucyl-L-alanyl-D-alanyl-N-methyl-L-leucyl-Nmethyl-L-leucyl-N-methyl-L-valyl]. 免疫抑制药。 Cyclosporine,Sandimmune,Ciclosporin,Cyclosprin A. INN,BAN,DCIT,USAN,USP,MI.  |