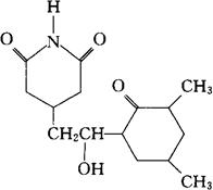
环己米特
C15H23NO4=281.35 CAS-66-81-9 [1S-[1α(S*),3α,5β]]-4-[2-(3,5-二甲基-2-氧代环己基)-2-羟乙基]-2,6-哌啶二酮。 [1S-[1α(S*),3α,5β]]-4-[2-(3,5-Dimethyl-2-oxocyclohexyl)-2-hydroxyethyl]-2,6-piperidinedione. 3-[(R)-2-[(1S,3S,5S)-3,5-二甲基-2-氧代环乙基]-2-羟基乙基]戊二酰亚胺。 3-[(R)-2-[(1S,3S,5S)-3,5-Dimethyl-2-oxocyclo hexyl]-2-hydroxyethyl]glutarimide. 抗真菌药。 环己哌酮。 Cicloheximede,Cycloheximide,Actidione,U-4527. INN,USAN.IP,JP,USP,MI.  |