环己西林
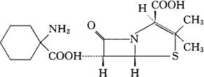
C15H23N3O4S=341.42 CAS-3458-14-1 6-(1-氨基环己烷甲酰胺基)青霉烷酸。 6-(1-Aminocyclohexanecarboxamido)penicillanic acid. 6-(1-氨基环己烷甲酰胺基)-3,3-二甲基-7-氧代-4-硫杂-1-氮杂双环[3.2.0]庚烷-2-羧酸。 6-(1-Aminocyclohexanecarboxamido)-3,3-dimethyl7-oxo-4-thia-1-azabicyclo[3.2.0]heptane-2-carboxylic acid. 抗生素类药。 Cyclacillin,Rastcillin,Cyclapen-W,WY-4508. INN,BAN,DOF,JAN,JP,NFN,USAN,USP,MI.  |