网站首页  词典首页


请输入您要查询的字词:

 

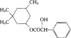
字词 环扁桃酯
类别 中英文字词句释义及详细解析
释义 环扁桃酯

C17H24O3=276.37

CAS-456-59-7

3,3,5-三甲基环己醇-α-羟基苯乙酸酯。

3,3,5-Trimethylcyclohexanol-α-hydroxyphenylacetate.

血管扩张药。用于缺血性脑血管病及血栓性静脉炎。环扁桃酸酯,二甲基环乙扁桃酸,安脉生,脑血通。

Cyclandelate,Spasmocylon,Cycolospasmol,Cyvaso.

环扁桃酯胶囊(安脉生胶囊,环扁桃酸酯胶囊,抗栓丸,抗栓胶囊),环扁桃酯片。

INN,BAN,DCF,JAN,FN,USAN,MI.

随便看

 

离鸟网收录3541549条中英文词条,其功能与新华字典、现代汉语词典、牛津高阶英汉词典等各类中英文词典类似,基本涵盖了全部常用中英文字词句的读音、释义及用法,是语言学习和写作的有利工具。

 

Copyright © 2004-2024 vtrois.com All Rights Reserved
更新时间:2026/4/8 13:16:43