网站首页  词典首页


请输入您要查询的字词:

 

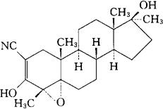
字词 环氧司坦
类别 中英文字词句释义及详细解析
释义 环氧司坦

C22H31NO3=357.49

CAS-80741-63-2

(4α,5α,17β)-4,5-环氧-3,17-二羟基4,17-二甲基-雄甾-2-烯-2-腈。

(4α,5α,17β)-4,5-Epoxy-3,17-dihydroxy-4,17-dimethyl-androst-2-ene-2-carbonitrile.

4α,5-环氧-3,17β-二羟基-4,17-二甲基-5α-雄甾-2-烯-2-腈

4α,5-Epoxy-3,17β-dihydroxy-4,17-dimethyl-5α-androst-2-ene-2-carbonitrile.

抗生育药。

Epostane,Win 32,729.

INN,BAN,USAN.

随便看

 

离鸟网收录3541549条中英文词条,其功能与新华字典、现代汉语词典、牛津高阶英汉词典等各类中英文词典类似,基本涵盖了全部常用中英文字词句的读音、释义及用法,是语言学习和写作的有利工具。

 

Copyright © 2004-2024 vtrois.com All Rights Reserved
更新时间:2026/4/8 4:15:01