网站首页  词典首页


请输入您要查询的字词:

 

字词 环磷腺苷[部]
类别 中英文字词句释义及详细解析
释义 环磷腺苷[部]

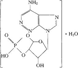
C10H12N5O6P·H2O=347.23

CAS-60-92-4

3′,5′-环磷酸腺苷-水化合物。

Adenosine-3′,5′-cyclicphosphate monohydrate.

蛋白激酶致活剂。能调节细胞的多种功能活动。用于缓期心绞痛及急性心肌梗塞,亦用于牛皮癣。

Adenosine Cyclophosphate,Cyclic AMP.

注射用环磷腺苷。

MI.

随便看

 

离鸟网收录3541549条中英文词条,其功能与新华字典、现代汉语词典、牛津高阶英汉词典等各类中英文词典类似,基本涵盖了全部常用中英文字词句的读音、释义及用法,是语言学习和写作的有利工具。

 

Copyright © 2004-2024 vtrois.com All Rights Reserved
更新时间:2026/4/6 22:22:49