网站首页  词典首页


请输入您要查询的字词:

 

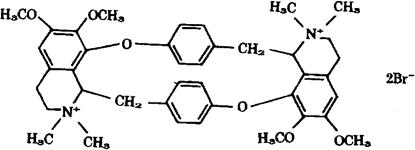
字词 环轮宁[中]
类别 中英文字词句释义及详细解析
释义 环轮宁[中]

C40H48Br2N2O6=812.63

溴化二甲基轮环藤宁。

Dimethyl cycleanine bromide.

抗高血压药。用于麻醉期间控制性降压。

溴甲基环轮宁,甲溴环轮宁。

Cycleanine,Methylbromide.

环轮宁注射液。

随便看

 

离鸟网收录3541549条中英文词条,其功能与新华字典、现代汉语词典、牛津高阶英汉词典等各类中英文词典类似,基本涵盖了全部常用中英文字词句的读音、释义及用法,是语言学习和写作的有利工具。

 

Copyright © 2004-2024 vtrois.com All Rights Reserved
更新时间:2026/4/7 21:47:43