网站首页  词典首页


请输入您要查询的字词:

 

字词 现代的关税减让谈判方式
类别 中英文字词句释义及详细解析
释义 现代的关税减让谈判方式

在关税谈判中采用的除传统的产品对产品方式以外的关税减让方式。

根据关贸总协定第二十八条附加《关税谈判》的第2款(甲)项规定,关税谈判“或者通过实施有关缔约方所接受的多边程序来进行”。自总协定第六轮多边贸易谈判的肯尼迪回合开始,首次采用了现代的关税谈判方式。

1964年总协定部长会议通过一项决议,提出“关税谈判将在关税线性减让的方式上进行”。从此,关税谈判开始了一个新的里程。

“线性减让,一揽子谈判”的方式就是各国按规定的减让幅度予以相同的减税。在肯尼迪回合中,各参加方达成协议,16个发达国家一致将工业品关税税率降低50%。

然而,线性减让方式有一个主要的弱点,就是无法解决关税的差异问题。不管原先是高关税还是低关税的国家,挨“一刀切”之后,使低关税很快失去保护作用,而高关税则仍保持著较强的保护作用。东京回合关税减让谈判在最初的讨论阶段,提出了三种减让方式。其中之一是欧共体根据“税率越高,减税越多”的原则而设计的“协调减税方式”,这一方式可分成三种类型:(1)按协定的百分比削减关税。这个百分比取决于谈判开始时各国自身的关税水平。最初关税税率越高,减税幅度就越大;最初税率越低,减税幅度就越小。

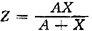
(2)用一个以其他参加国家关税的最高点为依据的百分比来降低关税。以选择哪些国家的税则作为参考依据,这就要协调各国税则,使各国税则能相互对应。(3)缩小和取消各国税则之间税率的差异。在东京回合最后被大多数谈判参加方接受的是瑞士公式即:

式中:A=所同意的系数

X=最初税率

Z=减让后的税率结果

瑞士公式把线性方式与协调方式结合起来。

若以所建议的系数16为基础,那末最初税率的10%,应减低为(16×10)÷(16+10)=160÷26=约6.15%。瑞士公式的采用,使高关税国家的减税比例高于低关税国家减税比例,符合了税率越高,减税越低的原则,缩小了各国税则中税率之间的差异,比较有效地再次降低关税。

东京回合使关税税率平均下降了35%,影响世界贸易额3000多亿美元的商品减税与约束。线性减税方式、协调减税方式和瑞士减税公式均为有关缔约方所接受的多边的现代的减税方式。

随便看

 

离鸟网收录3541549条中英文词条,其功能与新华字典、现代汉语词典、牛津高阶英汉词典等各类中英文词典类似,基本涵盖了全部常用中英文字词句的读音、释义及用法,是语言学习和写作的有利工具。

 

Copyright © 2004-2024 vtrois.com All Rights Reserved
更新时间:2026/4/8 3:15:20