网站首页  词典首页


请输入您要查询的字词:

 

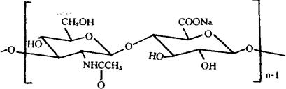
字词 玻璃酸钠
类别 中英文字词句释义及详细解析
释义 玻璃酸钠

(C14H20NNaO11)n

CAS-9067-32-7

CAS-9004-61-9(hyaluronic acid)

透明质酸钠。

Hyaluronic acid,sodium salt.

纤维蛋白溶解药。

透明质酸钠。

Sodium Hyaluronate,Hyaluronate Sodium,Equron.

1NN(Hyaluronicacid),BAN,USAN.

随便看

 

离鸟网收录3541549条中英文词条,其功能与新华字典、现代汉语词典、牛津高阶英汉词典等各类中英文词典类似,基本涵盖了全部常用中英文字词句的读音、释义及用法,是语言学习和写作的有利工具。

 

Copyright © 2004-2024 vtrois.com All Rights Reserved
更新时间:2026/4/7 11:49:04