琥珀酸拉伏替丁
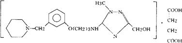
(C19H29N5O2)2·C4H6O4=1196.50 CAS-86160-82-9 CAS-76956-02-0(lavoltidine) 1-甲基-5-[[3-[-(1-哌啶基甲基)苯氧]丙基]氨基] 1H-1,2,4-三唑-3-甲醇,丁二酸(2∶1)盐。 1-Methyl-5-[[3-[3-(1-piperidinylmethyl)phenoxy]propyl]amino]-IH-1,2,4-triazole-3-methanol,butanedioate(2∶1)(salt). 1-甲基-5-[[3-[(α-哌啶基-间-甲苯基)氧]-丙基]氨基]-1H-1,2,4-三唑-3-甲醇琥珀酸(2∶1)盐。 1-Methyl-5-[[3-[(α-piperidino-m-tolyl)oxy]propyl]amino]-1H-1,2,4-triazole-3-methanol succinate(2∶1)(salt). 组胺H2-受体阻滞药。 拉伏替丁琥珀酸盐。 Lavoltidine Succinate,AH 23844A,AH23844 Lavoltidine,Loxotidine. INN & BAN(Lavoltidine),USAN. 
|